目前的液位计检定装置主要存在两方面的不足:一是多为实验室测量环境,而且多为横向的检尺台进行检定,不能够真实的模拟液位计的实际工作环境和工作状态;二是即使为竖向的检定装置,但量程一般不超过6米,与目前大型储罐一般12~25 m相比,对液位计主要量程的覆盖不够***。
储罐用自动类型液位计是安装在大型储罐上能够自动连续测量液体高度 (空高或液面高度) 的仪表。由于液位计的计量性能关系到油品交接过程中的准确程度,进而对单位的效益和安全有较大影响。如何能够对不同厂商、不同类型、不同测量原理的液位计进行客观、真实的检定的需求变得日益迫切起来。我司通过大量调研液位计的现场应用工况、液位计产品的现状,以及已有液位计检定装置的检定条件、检定方法,并综合国际上对液位计产品的要求,研究并建立了一套液位计标准装置。本装置的主要特点有:一是竖向检定液位计,真实再现了液位计的实际工作状态;二是标准装置覆盖的量程高可达25 m,满足市场上储罐用自动液位计的主要量程;三是采用激光干涉仪作为主标准器,与一般的检定装置采用一级钢直尺不同,具有非常高的准确度;四是采用自动控制系统进行全程的检定数据采集、液位控制,自动化程度高。
1、液位计标准装置的组成:
液位计标准装置由激光干涉仪、自由态双浮子和25 m高立式储罐构成,如图1所示。将激光干涉仪的激光发射装置安装在储罐罐顶,激光发射器垂直向下发射,照准安装在双浮子中的全反射棱镜。自由态双浮子由内外浮子构成,如图2所示。内浮子内安装全反射棱镜,如图3所示,可以反射储罐顶部激光发射器所发出的激光束,从而产生多普勒效应。内外浮子间通过支杆进行分隔,从而保证内浮子随液位进行自由波动的同时,始终处于外浮子的内径范围。外浮子两侧设有吊耳,固定在储罐上下的两条导轨穿过吊耳,从而约束双浮子在水平方向的运动范围,保证内浮子内安装的全反射棱镜能够在量程范围内反射激光发射器所发出的激光束。储罐内设有上下计量板,下计量板设为液位零点。当液位变化时,全反射棱镜在垂直方向的位移即为液位变化量。激光干涉仪[3]通过测量全反射镜移动时多普勒效应引起的频率变化,从而得到这一时刻反射棱镜的移动速度,再计算出一段时间内全反射棱镜的位移,从而得出液位测量值。通过将液位测量值与待检液位计的测量值在全量程范围均匀选取几个液位点作差,从而得出待检液位计的最大允许误差。

图1 液位计标准装置示意图

图2 自由态双浮子连接剖面示意图

图3 内浮子及全反射棱镜安装示意图
2、控制系统概述:
液位计标准装置的液位控制和液位测量由PLC控制系统[4]进行远程控制和现场数据采集。控制系统示意图如图4所示。

图4 液位计标准装置控制系统示意图
其中立式储罐顶部安装激光干涉仪和待检液位计,二者的测量值通过通信模块传回中控室。在液位变化过程中,PLC控制系统可以通过激光干涉仪测量值的反馈来控制主泵、控制泵、阀门进行工作。主泵主要用于液位的粗略控制,当液位逼近设定液位值时,关闭主泵,启动控制泵,由于控制泵流量非常小,能够比较地控制液位,从而使立式储罐液位达到指定液位设定值。在液位上升和下降过程中,通过远程切换阀门的开启和闭合,能够使测量介质在蓄水池和立式储罐间双向运动,实现双泵双向,从而实现液位设定值的双向控制。
3、不确定度评定:
根据前文描述,液位计标准装置在全量程范围内均匀选取几个液位测量点,通过标准装置的测量值和待检液位计测量值之间的差值,得出全量程范围内待检液位计的***大允许误差。
3.1、数学模型:
液位计标准装置的数学模型为:

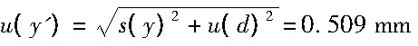
式中:Δ为特定液位点误差;y'为待检液位计示值;x为标准装置测量值。
3.2、测量不确定度的主要来源:
3.2.1、液位计引入的标准不确定度u (y'):
液位计的不确定度[5]主要是由液位计重复性、分辨力引入的标准不确定度,重复性的不确定度采用A类方法评定,分辨力的不确定度采用B类方法进行评定,液位计的重复性可以通过连续测量得到,按照检定规程[6]要求,在全量程范围内选择一固定的液位测量点,10次读取待检液位计的测量值为10.310 1、10.310 9、10.310 2、10.310 6、10.311 1、10.310 9、10.310 2、10.310 1、10.309 4、10.310 2 m。
根据贝塞尔公式,得出标准不确定度:

液位计分辨力为0.1 mm,在此区间内可认为均匀分布,包含因子k取,则:

液位计引入的标准不确定度

3.2.2、液位计标准装置引入的标准不确定度u (h0):
液位计标准装置误差引入的标准不确定度u (h0) 采用B类方法进行评定[6]。

3.2.3、合成标准不确定度计算:
数学模型:Δ=y'-x
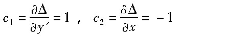
灵敏系数:
各标准不确定度分量汇总如表1所示。
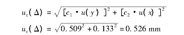
因而合成标准不确定度计算如下:
输入量y'、x彼此独立互不相关,所以合成标准不确定度可按下式计算得到:

表1 标准不确定度汇总表

扩展不确定度评定如下:
取包含因子k=2,液位计标准装置测量结果的扩展不确定度为:

3.3 测量不确定度报告与表示
液位计标准装置测量结果的扩展不确定度为:
4、结束语:
本文对液位计检定装置的组成、控制系统以及测量结果的不确定度进行了说明和分析,得出本装置能够对高精度液位计进行示值误差方面的检定,并通过控制标准装置中的液位,能够在量程范围内均匀的液位点进行测量工作,基本覆盖待检液位计的量程。本检定装置的优点主要体现在测量精度高、系统稳定性好,并能够真实模拟液位计的现场安装环境和工作状态,与传统的实验室横向检定大量程液位计相比,能够更加真实地再现液位计的具体工作环境,并为液位计的离线检定系统的研发提供了启示和技术支撑。
- 2026-04-01
高效溯源:2024澳门原料网温度校验仪在制药与冷链的全场景校准应用 - 2026-03-25
校验压力不用愁,有HSIN6000T全自动压力校验系统为你保驾护航! - 2025-12-26
台式压力泵干嘛用的 - 2025-12-19
血压计检定仪使用方法 - 2025-12-19
压力表校验台厂家有哪些 - 2025-10-30
液位计检定装置生产厂家有哪些 - 2025-10-27
HSIN685智能数字压力校验仪如何让“现场校准”更高效? - 2025-10-27
压力校验仪有哪几种 - 2025-09-18
告别来回折腾!HSIN6000A全自动集成压力校验台搞定所有压力场景 - 2025-09-18
多功能过程校验仪的作用有哪些


